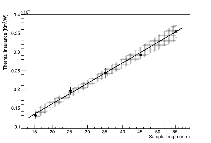
In-plane thermal conductivity measurement
Output of InPlaneAnalysis_Metaslope. Souvik Das, 2023
Analyst: Souvik Das
Analysis date: 4/27/2023
Material: INPL13
Underlying sample results:
- INPL13_1, FEA Heat Loss uncertainty = 0.001
- INPL13_2, FEA Heat Loss uncertainty = 0.00278
- INPL13_3, FEA Heat Loss uncertainty = 0.00543
- INPL13_4, FEA Heat Loss uncertainty = 0.00896
- INPL13_5, FEA Heat Loss uncertainty = 0.01333

Iterative fit with no correlations between data points. k = 182.214 +/- 12.5406 W/mK

Analytical fit with 0.5 correlation between data point uncertainties. k = 182.198 +/- 13.8157 W/mK

Iterative Minuit fit with 0.5 correlation between data point uncertainties. k = 182.198 +/- 10.1277 W/mK
Latest News
- Latest CMS News
- Observation of tt Entanglement
- DOE CMS upgrade award
- AirForce Phase III award
- DOE awards AI grant
- CMS Gold award
- Enormous Carbon Fiber prototype
- CMS upgrades funded
- Ramdas Award 2019
- New physics ?
- Summer 2018 UG exchange
- CMS phase II pixel upgrade workshop @Purdue
- Huffington Post: A new inner detector installed for CERN CMS experiment
- All News