Sample Results
In-plane thermal conductivity measurement Experimentalist, Ryan Story Date of measurement, 11/04/2021 Apparatus, InPlane Material, INPL16 Sample, 4 Length (mm), 35.11, 0.05 Width (mm), 50.0, 0.05 Thickness (mm), 2.38, 0.05 Heater Voltage, 7.60 Cooler Voltage, 0.0 Hot Fluxmeter Channels, 105, 106, 107, 108, 109, 110 Cold Fluxmeter Channels, 125, 126, 127, 128, 129, 130 Hot Fluxmeter Temperatures (C), 24.7227, 24.4697, 24.2829, 24.0241, 23.7777, 23.5727 Cold Fluxmeter Temperatures (C), 17.3768, 17.1159, 16.8901, 16.702, 16.4603, 16.2362 Hot Fluxmeter Temperature Uncertainties (C), 0.00232082, 0.0023516, 0.00248111, 0.00242653, 0.0022535, 0.00240921 Cold Fluxmeter Temperature Uncertainties (C), 0.00207093, 0.00224247, 0.00166354, 0.00248914, 0.00221404, 0.00240118 Hot Fluxmeter Temperatures Relative to Hottest Thermistor (C), 0, -0.248322, -0.440191, -0.696092, -0.943891, -1.15291 Cold Fluxmeter Temperatures Relative to Hottest Thermistor (C), 0, -0.258879, -0.472788, -0.675983, -0.916229, -1.13687 Hot Fluxmeter Temperature Relative to Hottest Thermistor Uncertainties (C), 0, 0.0039626, 0.00287623, 0.00316596, 0.00311593, 0.00268978 Cold Fluxmeter Temperature Relative to Hottest Thermistor Uncertainties (C), 0, 0.00378175, 0.00192353, 0.00299352, 0.00351909, 0.00196211

Heater Thermistors

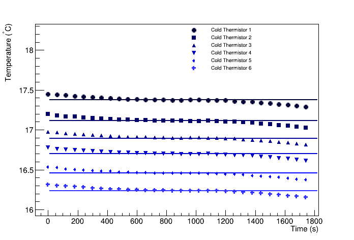
Cooler Thermistors

Heater Thermistors relative to hottest thermistor

Cooler Thermistors relative to the hottest thermistor

Analyst, Souvik Das Analysis date, 4/28/2023 Apparatus inter-thermistor distance (mm), 8 Apparatus thermistor bore diameter (mm), 1.27 Apparatus fluxmeter width (mm), 50.8 Apparatus fluxmeter thickness (mm), 6.36 Apparatus fluxmeter conductivity (W/mK), 355 Heater Biases: 0, 0, 0, 0, 0, 0 Cooler Biases: 0, 0, 0, 0, 0, 0 Hot fluxmeter flux (W/m^2), 10291.3 +/- 391.664 Cold fluxmeter flux (W/m^2), 9975.16 +/- 379.425 Heat flux through sample (W/m^2), 10133.2 +/- 315.155 Heat flow through sample (W), 3.27392 +/- 0.101823 Temperature at hot end of sample (C), 23.3319 +/- 0.059157 Temperature at cold end of sample (C), 17.5839 +/- 0.0272723 deltaT (C), 5.74809 +/- 0.0651408 R (K/W), 1.75572, 0.058117 RA (Km^2/W), 0.000208931, 8.19388e-06
Hot flux meter fit

Cold flux meter fit

Hot flux meter difference fit

Cold flux meter difference fit

Latest News
- Latest CMS News
- Observation of tt Entanglement
- DOE CMS upgrade award
- AirForce Phase III award
- DOE awards AI grant
- CMS Gold award
- Enormous Carbon Fiber prototype
- CMS upgrades funded
- Ramdas Award 2019
- New physics ?
- Summer 2018 UG exchange
- CMS phase II pixel upgrade workshop @Purdue
- Huffington Post: A new inner detector installed for CERN CMS experiment
- All News