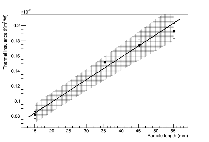
In-plane thermal conductivity measurement result
Output of InPlaneAnalysis_Metaslope. Souvik Das, 2023
Analyst: Souvik Das
Analysis date: 10/23/2023
Material: INPL11
Underlying sample results:
- INPL11_1, FEA Heat Loss uncertainty = 0.001
- INPL11_3, FEA Heat Loss uncertainty = 0.003
- INPL11_4, FEA Heat Loss uncertainty = 0.005
- INPL11_5, FEA Heat Loss uncertainty = 0.008
Iterative fit with no correlations between data points:
k = 335.572 +/- 24.6451 W/mK
R = 3.79896e-05 +/- 7.15544e-06 Km^2/W
X^2/(ndof - 2) = 1.28884

Analytical fit with 0.5 correlation between data point uncertainties:
k = 334.618 +/- 27.2006 W/mK
R = 3.8175e-05 +/- 0 Km^2/W
Iterative Minuit fit with 0.5 correlation between data point uncertainties.
k = 334.618 +/- 28.0417 W/mK
Rint = 3.8175e-05 +/- 7.6481e-06 Km^2/W
X^2/(ndof - 2) = 1.28696
Latest News
- Latest CMS News
- Observation of tt Entanglement
- DOE CMS upgrade award
- AirForce Phase III award
- DOE awards AI grant
- CMS Gold award
- Enormous Carbon Fiber prototype
- CMS upgrades funded
- Ramdas Award 2019
- New physics ?
- Summer 2018 UG exchange
- CMS phase II pixel upgrade workshop @Purdue
- Huffington Post: A new inner detector installed for CERN CMS experiment
- All News