Sample Results
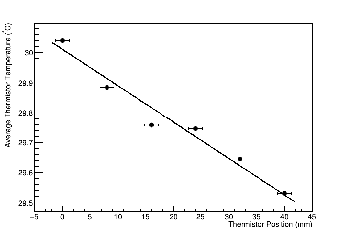
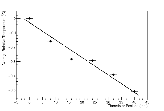
In-plane thermal conductivity measurement Experimentalist, Unknown Date of measurement, 2/13/20 Apparatus, InPlane Material, INPL12 Sample, 4 Length (mm), 14.4, 0.05 Width (mm), 50, 0.05 Thickness (mm), 3.75, 0.05 Heater Voltage (V), 5.7 Cooler Voltage (V), 0 Hot Fluxmeter Channels, 105, 106, 107, 108, 109, 110 Cold Fluxmeter Channels, 125, 126, 127, 128, 129, 130 Hot Fluxmeter Temperatures (C), 30.0407, 29.8842, 29.758, 29.7469, 29.646, 29.53 Cold Fluxmeter Temperatures (C), 6.43533, 6.22481, 6.13013, 6.11048, 6.03631, 5.89674 Hot Fluxmeter Temperature Uncertainties (C), 0.00460251, 0.00520418, 0.00608291, 0.00507616, 0.00452637, 0.00724599 Cold Fluxmeter Temperature Uncertainties (C), 0.00455481, 0.00381247, 0.00361229, 0.00356219, 0.00312671, 0.0034967 Hot Fluxmeter Temperatures Relative to Hottest Thermistor (C), 0, -0.159219, -0.283953, -0.293175, -0.392795, -0.509934 Cold Fluxmeter Temperatures Relative to Hottest Thermistor (C), 0, -0.211592, -0.304608, -0.325573, -0.398945, -0.538256 Hot Fluxmeter Temperature Relative to Hottest Thermistor Uncertainties (C), 0, 0.00482906, 0.00622697, 0.00571172, 0.00614478, 0.00706816 Cold Fluxmeter Temperature Relative to Hottest Thermistor Uncertainties (C), 0, 0.00696538, 0.00336864, 0.00559905, 0.00544966, 0.00374471

Heater Thermistors

Cooler Thermistors

Heater Thermistors relative to hottest thermistor

Cooler Thermistors relative to the hottest thermistor

Analyst, Souvik Das Analysis date, 10/23/2023 Apparatus inter-thermistor distance (mm), 8 Apparatus thermistor bore diameter (mm), 1.27 Apparatus fluxmeter width (mm), 50.8 Apparatus fluxmeter thickness (mm), 6.36 Apparatus fluxmeter conductivity (W/mK), 355 Heater Biases: 0, 0, 0, 0, 0, 0 Cooler Biases: 0, 0, 0, 0, 0, 0 Hot fluxmeter flux (W/m^2), 4323.42 +/- 173.722 Cold fluxmeter flux (W/m^2), 4487.22 +/- 177.632 Heat flux through sample (W/m^2), 4405.32 +/- 148.798 Heat flow through sample (W), 1.42331 +/- 0.048075 Temperature at hot end of sample (C), 29.4279 +/- 0.0267625 Temperature at cold end of sample (C), 6.48959 +/- 0.0129042 deltaT (C), 22.9383 +/- 0.0297111 R (K/W), 16.1162, 0.544757 RA (Km^2/W), 0.00302179, 0.000109843
Hot flux meter fit

Cold flux meter fit

Hot flux meter difference fit

Cold flux meter difference fit

Latest News
- Latest CMS News
- Observation of tt Entanglement
- DOE CMS upgrade award
- AirForce Phase III award
- DOE awards AI grant
- CMS Gold award
- Enormous Carbon Fiber prototype
- CMS upgrades funded
- Ramdas Award 2019
- New physics ?
- Summer 2018 UG exchange
- CMS phase II pixel upgrade workshop @Purdue
- Huffington Post: A new inner detector installed for CERN CMS experiment
- All News