In-plane thermal conductivity measurement
Experimentalist, Unknown
Date of measurement, 2/13/20
Apparatus, InPlane
Material, INPL12
Sample, 5
Length (mm), 17.3, 0.05
Width (mm), 50, 0.05
Thickness (mm), 3.75, 0.05
Heater Voltage (V), 5.3
Cooler Voltage (V), 0
Hot Fluxmeter Channels, 105, 106, 107, 108, 109, 110
Cold Fluxmeter Channels, 125, 126, 127, 128, 129, 130
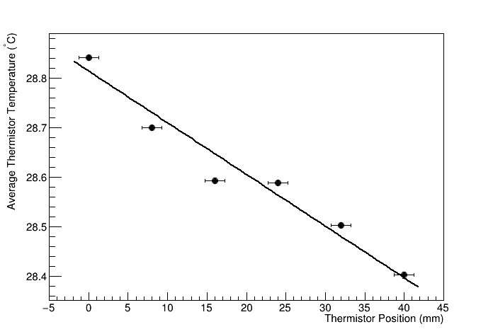
Hot Fluxmeter Temperatures (C), 28.841, 28.6999, 28.5931, 28.5883, 28.5029, 28.4021
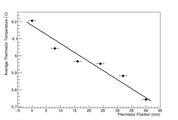
Cold Fluxmeter Temperatures (C), 6.20599, 6.04336, 5.96721, 5.9537, 5.88202, 5.74357
Hot Fluxmeter Temperature Uncertainties (C), 0.00384295, 0.00459346, 0.00528099, 0.00442896, 0.00434194, 0.00635863
Cold Fluxmeter Temperature Uncertainties (C), 0.00481639, 0.00397384, 0.00335054, 0.00409711, 0.00326607, 0.00302682
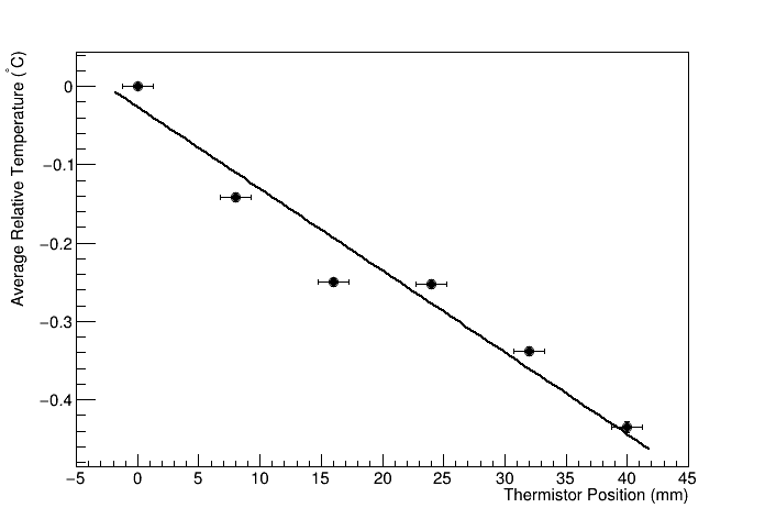
Hot Fluxmeter Temperatures Relative to Hottest Thermistor (C), 0, -0.14128, -0.250248, -0.252526, -0.337601, -0.434701
Cold Fluxmeter Temperatures Relative to Hottest Thermistor (C), 0, -0.163969, -0.239981, -0.253935, -0.328034, -0.467921
Hot Fluxmeter Temperature Relative to Hottest Thermistor Uncertainties (C), 0, 0.00590501, 0.00552091, 0.00527533, 0.00575421, 0.007008
Cold Fluxmeter Temperature Relative to Hottest Thermistor Uncertainties (C), 0, 0.00654224, 0.00376222, 0.00519543, 0.0054512, 0.00437948

Heater Thermistors
|
Cooler Thermistors
|
Heater Thermistors relative to hottest thermistor
|
Cooler Thermistors relative to the hottest thermistor

|
Analyst, Souvik Das
Analysis date, 10/23/2023
Apparatus inter-thermistor distance (mm), 8
Apparatus thermistor bore diameter (mm), 1.27
Apparatus fluxmeter width (mm), 50.8
Apparatus fluxmeter thickness (mm), 6.36
Apparatus fluxmeter conductivity (W/mK), 355
Heater Biases: 0, 0, 0, 0, 0, 0
Cooler Biases: 0, 0, 0, 0, 0, 0
Hot fluxmeter flux (W/m^2), 3706.25 +/- 150.777
Cold fluxmeter flux (W/m^2), 3851.68 +/- 153.468
Heat flux through sample (W/m^2), 3778.96 +/- 129.843
Heat flow through sample (W), 1.22094 +/- 0.0419509
Temperature at hot end of sample (C), 28.3132 +/- 0.023034
Temperature at cold end of sample (C), 6.26329 +/- 0.0110766
deltaT (C), 22.0499 +/- 0.0255589
R (K/W), 18.0598, 0.620879
RA (Km^2/W), 0.00338621, 0.000124909
Hot flux meter fit
|
Cold flux meter fit
|
Hot flux meter difference fit
|
Cold flux meter difference fit
|