In-plane thermal conductivity measurement
Experimentalist, Unknown
Date of measurement, 2/13/20
Apparatus, InPlane
Material, INPL12
Sample, 4
Length (mm), 14.4, 0.05
Width (mm), 50, 0.05
Thickness (mm), 3.75, 0.05
Heater Voltage (V), 5.7
Cooler Voltage (V), 0
Hot Fluxmeter Channels, 105, 106, 107, 108, 109, 110
Cold Fluxmeter Channels, 125, 126, 127, 128, 129, 130
Hot Fluxmeter Temperatures (C), 30.0407, 29.8842, 29.758, 29.7469, 29.646, 29.53
Cold Fluxmeter Temperatures (C), 6.43533, 6.22481, 6.13013, 6.11048, 6.03631, 5.89674
Hot Fluxmeter Temperature Uncertainties (C), 0.00460251, 0.00520418, 0.00608291, 0.00507616, 0.00452637, 0.00724599
Cold Fluxmeter Temperature Uncertainties (C), 0.00455481, 0.00381247, 0.00361229, 0.00356219, 0.00312671, 0.0034967
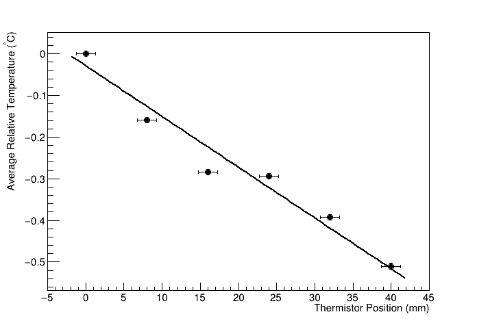
Hot Fluxmeter Temperatures Relative to Hottest Thermistor (C), 0, -0.159219, -0.283953, -0.293175, -0.392795, -0.509934
Cold Fluxmeter Temperatures Relative to Hottest Thermistor (C), 0, -0.211592, -0.304608, -0.325573, -0.398945, -0.538256
Hot Fluxmeter Temperature Relative to Hottest Thermistor Uncertainties (C), 0, 0.00482906, 0.00622697, 0.00571172, 0.00614478, 0.00706816
Cold Fluxmeter Temperature Relative to Hottest Thermistor Uncertainties (C), 0, 0.00696538, 0.00336864, 0.00559905, 0.00544966, 0.00374471

Heater Thermistors
|
Cooler Thermistors
|
Heater Thermistors relative to hottest thermistor
|
Cooler Thermistors relative to the hottest thermistor

|
Analyst, Souvik Das
Analysis date, 10/23/2023
Apparatus inter-thermistor distance (mm), 8
Apparatus thermistor bore diameter (mm), 1.27
Apparatus fluxmeter width (mm), 50.8
Apparatus fluxmeter thickness (mm), 6.36
Apparatus fluxmeter conductivity (W/mK), 355
Heater Biases: 0, 0, 0, 0, 0, 0
Cooler Biases: 0, 0, 0, 0, 0, 0
Hot fluxmeter flux (W/m^2), 4323.42 +/- 173.722
Cold fluxmeter flux (W/m^2), 4487.22 +/- 177.632
Heat flux through sample (W/m^2), 4405.32 +/- 148.798
Heat flow through sample (W), 1.42331 +/- 0.048075
Temperature at hot end of sample (C), 29.4279 +/- 0.0267625
Temperature at cold end of sample (C), 6.48959 +/- 0.0129042
deltaT (C), 22.9383 +/- 0.0297111
R (K/W), 16.1162, 0.544757
RA (Km^2/W), 0.00302179, 0.000109843
Hot flux meter fit
|
Cold flux meter fit
|
Hot flux meter difference fit
|
Cold flux meter difference fit
|