In-plane thermal conductivity measurement
Experimentalist, Unknown
Date of measurement, 2/12/20
Apparatus, InPlane
Material, INPL12
Sample, 1
Length (mm), 5.2, 0.05
Width (mm), 50, 0.05
Thickness (mm), 3.75, 0.05
Heater Voltage (V), 5.4
Cooler Voltage (V), 0
Hot Fluxmeter Channels, 105, 106, 107, 108, 109, 110
Cold Fluxmeter Channels, 125, 126, 127, 128, 129, 130
Hot Fluxmeter Temperatures (C), 22.1017, 21.9477, 21.8585, 21.7693, 21.6611, 21.5718
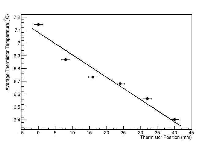
Cold Fluxmeter Temperatures (C), 7.14205, 6.86868, 6.73296, 6.68254, 6.56393, 6.40251
Hot Fluxmeter Temperature Uncertainties (C), 0.00373319, 0.004401, 0.00510993, 0.00454824, 0.00428216, 0.0057031
Cold Fluxmeter Temperature Uncertainties (C), 0.00497989, 0.00362211, 0.00346892, 0.00365459, 0.00344615, 0.00347117
Hot Fluxmeter Temperatures Relative to Hottest Thermistor (C), 0, -0.138874, -0.227512, -0.322127, -0.426678, -0.521861
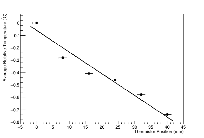
Cold Fluxmeter Temperatures Relative to Hottest Thermistor (C), 0, -0.281087, -0.408161, -0.459833, -0.578529, -0.737839
Hot Fluxmeter Temperature Relative to Hottest Thermistor Uncertainties (C), 0, 0.00459726, 0.00473674, 0.00406964, 0.00456801, 0.00500499
Cold Fluxmeter Temperature Relative to Hottest Thermistor Uncertainties (C), 0, 0.00661274, 0.00362181, 0.00530463, 0.00583933, 0.00480132

Heater Thermistors
|
Cooler Thermistors
|
Heater Thermistors relative to hottest thermistor
|
Cooler Thermistors relative to the hottest thermistor

|
Analyst, Souvik Das
Analysis date, 10/23/2023
Apparatus inter-thermistor distance (mm), 8
Apparatus thermistor bore diameter (mm), 1.27
Apparatus fluxmeter width (mm), 50.8
Apparatus fluxmeter thickness (mm), 6.36
Apparatus fluxmeter conductivity (W/mK), 355
Heater Biases: 0, 0, 0, 0, 0, 0
Cooler Biases: 0, 0, 0, 0, 0, 0
Hot fluxmeter flux (W/m^2), 4550.06 +/- 177.023
Cold fluxmeter flux (W/m^2), 6206.63 +/- 243.476
Heat flux through sample (W/m^2), 5378.35 +/- 841.848
Heat flow through sample (W), 1.73768 +/- 0.271991
Temperature at hot end of sample (C), 21.4551 +/- 0.0275106
Temperature at cold end of sample (C), 7.21981 +/- 0.0175506
deltaT (C), 14.2353 +/- 0.0326321
R (K/W), 8.19215, 1.28242
RA (Km^2/W), 0.00153603, 0.000241329
Hot flux meter fit
|
Cold flux meter fit
|
Hot flux meter difference fit
|
Cold flux meter difference fit
|